2:37
2023-09-08 18:18
6:09
6:09
2023-09-13 12:25
3:15
3:15
2023-09-27 17:50
3:27
3:27
2023-08-08 01:11
3:15
3:15
2025-03-29 08:37
1:58:59
1:58:59
2026-05-18 14:49
57:13
57:13
2025-10-30 20:24
1:35:41
1:35:41
2024-01-02 15:00
1:12:57
1:12:57
2026-05-29 13:07
1:19:14
1:19:14
2022-06-14 17:09
27:28
27:28
2025-12-02 19:30
3:32:53
3:32:53
2025-08-22 07:30
2:37:06
2:37:06
2025-12-17 16:07
1:49:25
1:49:25
2026-02-10 13:08
2:31:45
2:31:45
2026-05-22 22:20
46:28
46:28
2026-05-27 20:00
12:00
3:35
3:31
3:40
3:44
3:24
3:02
2:29
2:14
2:14
3:00
3:40
3:45
2:46
2:53
2:46
3:20
2:59
3:40
2:10
2:44
1:54:08
1:47:21
2:00:44
1:26:13
1:54:04
1:32:12
2:14:31
2:36:35
3:17:14
1:46:02
1:51:51
1:49:24
1:36:30
1:33:08
1:37:08
1:51:29
1:35:30
1:38:18
2:16:14
1:30:46
0:12
1:07:28
23:53
1:05:17
1:11:53
0:41
6:30
7:42
7:06
11:02
7:05
13:12
10:42
11:20
3:28
12:08
6:30
11:27
13:10
0:50
66:54:01
46:30
1:41:18
1:49:38
1:47:25
58:27
3:16
2:53
4:01
2:11:07
2:17:36
41:23
2:50
57:36
12:26:36
1:54:23
5:38
1:39:41
43:59
2:22:56
12:00
2026-04-29 14:24
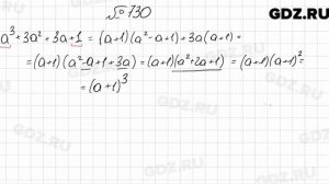
46:21
46:21
2025-11-01 21:30
58:56
58:56
Отношения России и Казахстана выходят на новый уровень, а Кая Каллас «разоружает» Москву |28.05.2026
2026-05-28 19:00
0/0
Скачать Видео с Рутуба по ссылке
| 512x288 | ||
| 640x360 | ||
| 896x504 | ||
| 1280x720 |
2026-05-16 13:07
2026-05-21 20:27
2026-05-15 10:04
2026-04-28 12:53
2026-05-15 09:58
3:02
2026-05-26 10:55
2026-04-28 10:53
2026-05-10 15:00
2026-05-16 13:24
3:00
2026-05-26 11:26
2026-05-22 10:17
2026-04-29 14:24
2026-05-24 15:25
2026-05-21 14:27
2026-05-23 16:52
2026-04-25 16:09
2026-04-27 17:01
2026-05-16 13:00
2026-05-12 12:35
2026-05-10 12:47
0/0
2026-04-13 12:20
2026-04-09 22:40
2026-05-04 16:12
2026-04-29 20:33
2026-05-12 16:55
2026-02-17 21:38
2026-03-12 23:32
2026-04-11 16:06
2026-04-02 11:34
2026-05-18 11:14
2026-05-06 10:53
2026-03-10 12:44
2026-05-06 14:10
2026-04-15 12:24
2026-05-07 15:10
2026-02-26 14:41
2026-04-30 16:00
2026-05-12 16:55
2026-04-20 11:54
2026-03-28 23:09
0/0
0:12
2026-04-10 14:28
1:07:28
2026-04-02 13:30
2021-09-22 23:25
1:05:17
2025-07-15 11:22
2026-01-29 11:37
0:41
2026-05-07 15:39
2022-03-29 19:16
7:42
2024-12-17 12:21
2026-05-23 09:09
2021-09-22 23:36
2025-12-30 20:49
2021-09-23 00:15
2021-09-22 21:43
2025-09-12 10:05
2025-01-09 17:01
2025-06-10 14:59
2022-03-31 13:09
2025-10-10 18:25
2021-09-22 22:45
0:50
2026-05-07 17:13
0/0
2023-05-15 17:30
2024-08-05 22:22
2024-06-25 00:21
2024-03-12 00:19
2025-11-27 03:58
2025-12-08 12:06
3:16
2023-10-13 14:26
2025-04-24 09:53
4:01
2023-10-12 11:54
2:11:07
2023-04-25 22:52
2025-10-08 08:17
2023-11-19 12:01
2024-07-04 15:48
2024-11-13 13:06
2025-11-14 19:42
2025-01-18 20:05
2023-12-25 15:26
2025-10-29 16:30
2022-09-16 07:26
2:22:56
2023-04-25 23:06
0/0