1:13
2023-12-28 14:42
5:12
5:12
2024-01-05 17:09
2:03
2:03
2023-11-24 21:49
5:44
5:44
2023-11-24 14:27
3:50
3:50
2023-11-24 11:20
1:48
1:48
2023-12-17 10:17
4:30
4:30
2023-11-24 14:47
9:14
9:14
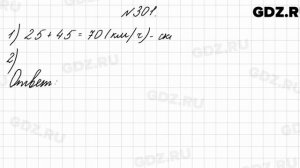
Математика 4 класс 2 часть: задача №301 (286) стр.75 (73) | Краткая запись задачи, деление в столбик
2025-05-09 17:21
1:56
1:56
2024-01-11 18:21
3:28
3:28
2023-12-26 02:02
1:58:59
1:58:59
2026-05-18 14:49
1:40:01
1:40:01
2026-05-28 16:01
1:15:37
1:15:37
2026-05-28 06:01
3:17:09
3:17:09
2026-03-30 14:22
50:08
50:08
2026-05-20 13:05
2:40:57
2:40:57
2025-12-17 16:07
3:26:37
3:26:37
2024-12-12 14:50
1:45:59
3:35
4:17
2:44
2:14
2:22
3:40
3:45
2:53
2:34
2:32
3:48
2:59
2:31
3:52
4:06
3:40
2:29
2:14
3:40
2:19
1:35:30
2:15:22
1:37:49
1:44:43
1:25:48
1:33:08
1:38:18
2:16:60
1:53:59
1:36:21
1:49:24
1:54:08
1:26:14
1:54:08
1:51:29
1:47:21
2:00:44
1:53:00
1:23:53
1:39:05
13:10
5:14
12:17
11:02
0:00
12:24
13:10
13:27
3:28
11:32
12:12
6:30
13:06
12:31
12:51
1:28:31
12:34
1:05:17
23:53
7:19
1:29:27
2:10:31
1:41:18
2:52:30
2:21:36
1:44:11
1:47:36
1:29:32
1:38:04
1:12:19
2:08:21
1:47:25
51:49
41:23
1:49:38
1:49:29
2:07:05
2:50
1:49:18
43:59
1:45:59Скачать Видео с Рутуба по ссылке
| 426x240 | ||
| 640x360 | ||
| 854x480 | ||
| 1280x720 | ||
| 1920x1080 |
2026-05-16 13:07
2026-04-27 13:24
2026-05-10 12:47
2026-05-16 13:24
2026-04-28 11:11
2026-05-22 10:17
2026-04-29 14:24
2026-05-21 14:27
2026-05-21 14:31
2026-04-29 11:10
2026-05-15 10:08
2026-04-27 17:01
2026-05-16 13:10
2026-05-09 18:11
2026-05-24 15:36
2026-05-15 10:04
2026-04-28 10:53
2026-05-24 15:19
2026-05-16 13:00
2026-04-23 11:42
0/0
2026-04-30 16:00
2026-05-21 11:56
2026-02-16 08:53
2026-04-09 22:40
2026-02-26 14:41
2026-04-15 12:24
2026-05-12 16:55
2026-05-07 15:07
2026-04-22 11:21
2026-03-27 13:35
2026-02-19 14:08
2026-03-21 11:57
2026-04-07 11:13
2026-04-13 12:20
2026-02-26 14:41
2026-04-09 22:40
2026-05-04 16:12
2026-03-27 14:10
2026-04-17 14:43
2026-05-07 15:06
0/0
2024-11-27 14:57
5:14
2024-11-28 13:12
2021-09-22 22:23
2021-09-22 23:36
2026-05-30 00:40
2024-11-27 13:24
2021-09-22 22:45
2021-09-22 23:51
2025-01-09 17:01
2021-09-22 21:49
2024-11-29 14:21
6:30
2018-04-03 10:35
2024-11-28 16:30
2021-09-22 22:40
2024-11-27 16:39
2026-03-05 13:25
2024-12-02 14:42
1:05:17
2025-07-15 11:22
2021-09-22 23:25
2021-09-22 21:03
0/0
2025-04-11 14:51
2024-01-17 17:34
2024-06-25 00:21
2025-01-13 14:00
2024-12-16 20:15
2025-12-25 22:29
2025-12-25 17:49
2025-03-15 20:49
2026-03-26 23:45
2025-04-18 22:01
2:08:21
2023-05-03 20:56
2025-11-27 03:58
2022-09-14 19:48
2023-11-19 12:01
2024-03-12 00:19
1:49:29
2023-04-27 15:40
2023-05-31 14:59
2024-07-04 15:48
2026-01-29 11:25
2022-09-16 07:26
0/0