22:00
2024-07-29 08:58
11:17
11:17
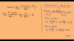
Пределы 13. Вычисление предела последовательности ( предел с корнями и степенями ), примеры 5 и 6. (
2024-07-29 08:57
1:54:55
1:54:55
2026-05-03 21:00
10:54:47
10:54:47
2026-04-30 00:03
11:40:36
11:40:36
2026-04-30 00:01
3:01:31
3:01:31
2025-10-02 19:15
2:36:33
2:36:33
2026-04-24 17:06
2:48:30
2:48:30
2023-12-23 12:24
2:23:16
2:23:16
2023-12-23 12:18
3:00:33
3:00:33
2025-04-06 21:40
3:50:16
3:50:16
2024-08-19 15:47
2:49:04
2:49:04
2026-04-23 12:28
3:48:10
3:48:10
2023-09-18 01:16
2:29:19
2:29:19
2025-10-01 19:29
2:30:26
2:30:26
2025-10-09 19:14
11:26:05
11:26:05
2026-04-30 00:01
4:02:06
4:02:06
2025-01-04 02:00
43:23
2:59
2:15
2:41
3:57
4:04
4:11
3:12
3:45
2:49
4:18
3:20
2:34
2:09
2:22
3:20
3:14
3:32
2:13
4:52
3:49
1:29:24
1:26:14
1:33:08
1:26:45
1:35:41
1:44:43
1:34:15
1:35:38
1:54:08
1:46:38
1:34:09
1:39:31
1:52:59
1:59:36
1:23:53
1:32:12
2:05:47
1:26:13
2:16:48
1:37:12
12:34
3:15
0:12
12:31
42:36
12:12
13:00
12:51
13:26
7:19
13:00
7:42
11:00
3:28
12:41
13:10
10:02
21:30
1:11:53
1:09
4:01
1:30:27
1:47:25
3:06:34
1:49:28
66:54:01
43:59
2:53
3:48:45
12:26:36
7:04
2:32:29
58:27
3:16:51
41:23
2:40:60
1:29:27
6:36
3:12:39
1:41:18
43:23Скачать Видео с Рутуба по ссылке
| 256x144 | ||
| 432x232 | ||
| 640x360 | ||
| 856x480 | ||
| 1280x720 |
2026-04-15 12:45
2026-04-17 12:38
2026-04-29 11:40
2026-04-20 16:53
2026-04-10 10:01
2026-04-17 12:33
2026-04-29 11:28
2026-04-29 14:24
2026-04-17 12:23
2026-04-21 09:48
2026-04-25 16:09
2026-04-29 11:20
2026-04-10 09:36
2026-04-11 10:26
2026-04-16 11:51
3:14
2026-05-02 00:31
2026-04-15 12:36
2026-04-14 08:26
2026-04-27 13:31
2026-04-20 16:46
0/0
2026-02-06 18:40
2026-04-07 11:13
2026-04-15 12:24
2026-03-27 13:34
2026-02-25 19:41
2026-04-09 22:40
2026-03-01 21:54
1:35:38
2026-05-04 16:23
2026-04-13 12:20
2026-02-25 19:41
2026-02-25 19:41
2026-02-16 01:07
2026-03-27 14:10
2026-02-13 14:02
2026-04-17 14:43
2026-02-17 21:38
2026-02-06 18:40
2026-04-29 20:33
2026-03-12 23:31
2026-04-06 12:20
0/0
2024-12-02 14:42
2025-06-10 13:56
0:12
2026-04-10 14:28
2021-09-22 22:40
2025-08-26 12:07
2024-11-29 14:21
2024-11-29 13:39
2024-11-27 16:39
2021-09-22 22:54
2026-04-30 10:00
2024-11-28 16:19
7:42
2024-12-17 12:21
2022-07-25 18:59
2025-01-09 17:01
2024-11-28 12:54
2021-09-24 16:00
2021-09-22 21:29
2021-09-22 23:09
2026-01-29 11:37
1:09
2026-04-03 12:21
0/0
4:01
2023-10-12 11:54
2025-04-04 18:26
2025-11-27 03:58
2024-10-24 16:05
2026-04-23 21:12
2023-05-15 17:30
2022-09-16 07:26
2025-04-24 09:53
2026-02-02 14:57
2025-11-14 19:42
7:04
2018-07-11 11:26
2025-11-17 11:22
2025-12-08 12:06
2025-10-03 19:48
2023-11-19 12:01
2024-03-18 17:25
2024-01-12 11:40
2015-02-06 15:18
2025-06-17 19:00
2024-06-25 00:21
0/0