9:25
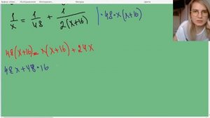
Из А в В одновременно выехали два автомобилиста. Первый проехал с постоянной скоростью весь - №12161
2025-05-14 18:00
7:40
7:40
2023-09-29 12:04
3:46:57
3:46:57
2026-03-12 23:20
10:11:37
10:11:37
2025-04-07 07:03
11:03:06
11:03:06
2025-10-20 06:19
2:41:09
2:41:09
2025-11-14 18:15
2:07:59
2:07:59
2026-02-18 21:10
2:42:49
2:42:49
2024-01-30 15:40
2:32:19
2:32:19
2023-09-10 18:25
2:40:56
2:40:56
2023-09-10 18:55
3:12:39
3:12:39
2023-12-21 11:54
11:52:60
11:52:60
2025-01-24 09:38
2:37:05
2:37:05
2023-09-10 20:03
3:01:48
3:01:48
2024-02-09 03:39
4:23:18
4:23:18
2024-02-16 17:06
2:32:28
2:32:28
2025-11-07 15:49
3:48:10
3:48:10
2023-09-18 01:16
3:08:44
3:08
4:32
2:34
2:54
3:44
3:50
3:22
2:41
2:46
3:27
2:29
3:35
5:22
2:37
3:09
3:27
2:41
2:38
5:08
3:44
1:32:11
1:49:18
1:39:05
1:49:55
1:52:58
2:12:40
1:37:50
1:29:22
1:51:29
1:49:34
1:34:15
2:16:48
1:39:31
2:19:18
1:41:31
1:35:41
1:37:49
1:39:30
1:49:28
1:30:07
7:04
1:11:53
0:00
21:30
13:00
12:08
5:14
12:12
11:00
1:13
4:33
11:20
7:16
1:10:01
11:00
8:60
13:00
3:15
6:30
6:30
12:26:36
3:09
8:05:56
1:41:18
2:53
1:19:08
6:36
1:30:27
2:56:03
3:12:53
3:16:51
1:47:25
2:22:56
1:54:23
4:33
2:54:39
3:16
2:21:36
1:47:36
3:21:43
3:08:44Скачать Видео с Рутуба / RuTube
| 226x144 | ||
| 376x240 | ||
| 564x360 | ||
| 752x480 |
2026-02-26 10:16
2026-03-14 12:16
2026-03-03 12:08
2026-03-14 14:48
2026-02-22 22:48
2026-03-06 13:17
2026-02-25 09:55
2026-02-27 12:25
2026-03-09 10:49
2026-03-11 11:23
2026-03-03 12:53
2026-03-08 10:08
2026-03-14 12:07
2026-02-20 20:31
2026-03-14 14:36
2026-03-13 10:56
2026-03-04 10:49
2026-02-20 10:00
2026-03-05 09:07
2026-03-03 12:20
0/0
2026-02-17 21:38
2026-01-29 11:25
2026-02-16 01:07
2026-02-13 20:27
2026-01-26 14:34
2026-01-23 18:44
2026-02-25 19:41
2026-01-26 14:34
2026-02-26 14:41
2026-01-23 18:44
2026-03-01 21:54
2026-03-12 23:31
2026-02-16 01:07
2026-03-11 13:51
2026-01-23 18:43
2026-02-25 19:41
2026-02-16 08:53
2026-01-23 18:43
2026-01-23 18:44
2026-02-06 18:40
0/0
2026-01-12 15:05
2026-01-29 11:37
2026-03-16 17:40
2021-09-22 23:09
2024-11-29 13:39
2021-09-22 22:29
2024-11-28 13:12
2024-11-29 14:21
2022-04-01 17:59
2024-11-29 14:40
2024-12-17 16:56
2025-09-12 10:05
7:16
2026-03-10 10:31
2025-07-25 20:16
2022-07-25 18:59
2025-12-09 11:58
2024-12-02 13:15
2025-06-10 13:56
2022-03-31 13:09
2025-12-30 19:54
0/0
Скачать популярное видео
Популярное видео
2025-11-14 19:42
2024-05-30 14:13
8:05:56
2017-07-08 19:33
2024-06-25 00:21
2025-04-24 09:53
2026-01-01 13:59
2015-02-06 15:18
2025-04-04 18:26
2:56:03
2021-03-15 02:49
2022-12-22 16:10
2025-10-03 19:48
2025-11-27 03:58
2:22:56
2023-04-25 23:06
2025-01-18 20:05
4:33
2019-12-02 21:15
2022-03-11 11:17
3:16
2023-10-13 14:26
2024-12-16 20:15
2025-12-25 17:49
2024-08-29 02:17
0/0