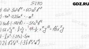
3:09
2022-11-12 12:13
2:59
2:59
2023-12-17 07:17
2:41
2:41
2023-12-28 12:53
2:11:20
2:11:20
2025-11-23 20:55
1:47:22
1:47:22
2025-11-26 18:16
1:30:00
1:30:00
2025-11-26 16:00
1:11:55
1:11:55
2025-11-19 19:00
1:56:03
1:56:03
2025-11-08 21:00
2:32:28
2:32:28
2025-11-07 15:49
1:11:18
1:11:18
2025-11-27 06:57
2:38:00
2:38:00
2025-11-10 00:05
2:32:19
2:32:19
2023-09-10 18:25
50:45
50:45
2025-11-27 19:00
32:20
32:20
2025-11-27 16:00
46:30
46:30
2025-11-27 18:06
2:40:56
2:40:56
2023-09-10 18:55
36:13
36:13
2025-11-27 17:14
1:01:18
2:52
2:59
3:10
3:32
3:55
2:57
2:41
3:23
2:45
5:39
3:18
2:30
3:22
3:14
3:05
2:37
2:44
5:23
4:07
8:21
1:39:56
1:50:38
1:42:50
1:39:10
1:56:59
1:47:25
1:46:40
1:38:22
1:23:01
1:44:57
1:55:08
2:08:34
1:49:20
2:15:54
2:02:20
1:24:45
1:50:35
1:36:20
1:39:41
1:28:32
3:15
23:04
10:02
12:17
12:50
12:34
11:04
1:13
6:30
3:27
11:50
7:09
6:30
10:23
1:10:01
7:12
10:42
12:08
13:42
1:20:52
1:01:18Скачать Видео с Рутуба / RuTube
| 256x126 | ||
| 640x316 | ||
| 1280x630 |
2025-11-18 11:48
2025-11-18 12:12
2025-11-27 12:41
2025-11-18 12:49
2025-11-27 13:01
2025-11-27 11:50
2025-11-17 14:22
2025-11-19 11:51
2025-11-27 12:36
2025-11-23 13:40
2025-11-19 11:48
2025-11-21 13:20
2025-11-27 11:30
2025-11-18 11:36
2025-11-25 11:19
2025-11-23 13:33
2025-11-20 21:37
2025-11-21 13:15
2025-11-27 12:54
2025-11-17 14:27
0/0
2025-10-02 20:46
2025-10-16 16:08
2025-09-23 22:53
2025-09-23 22:53
2025-09-23 22:53
2025-11-27 03:58
2025-10-07 09:27
2025-10-01 12:16
2025-11-05 19:47
2025-10-29 16:30
2025-10-29 16:30
2025-09-24 22:05
2025-10-21 22:50
2025-10-13 19:02
2025-10-01 12:06
2025-11-13 23:26
2025-09-24 10:48
2025-10-09 20:02
2025-10-29 16:30
2025-10-07 09:27
0/0
2025-06-10 13:56
2025-01-09 17:26
2021-09-22 21:29
2021-09-22 22:23
2024-12-17 13:25
2024-12-02 14:42
2023-05-18 16:41
2024-11-29 14:40
2022-03-29 19:16
2024-12-07 11:00
2021-09-22 21:17
2025-04-01 16:06
6:30
2018-04-03 10:35
2021-09-22 23:09
2025-07-25 20:16
2025-11-21 03:26
2021-09-22 21:43
2025-06-10 14:59
2024-11-28 14:12
2025-09-19 17:54
0/0