10:25
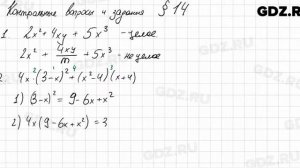
122_Решение системы линейных уравнений с двумя переменными способом подстановки. Практ. часть. 6 кла
2024-09-10 15:30
13:35
13:35
2024-09-10 15:31
11:36
11:36
2024-09-10 15:10
12:19
12:19
126_Решение системы линейных уравнений с двумя переменными способом сложения. Практ. часть. 6 класс.
2024-09-10 15:31
10:34
10:34
2026-01-18 18:35
12:10
12:10
2024-09-11 11:05
10:13
10:13
81_Решение линейных нерав-в с одной переменной, содерж-х переменную под знаком модуля. Практ.ч. 6 кл
2024-09-10 14:32
10:46
10:46
124_Решение системы линейных уравнений с двумя переменными способом подстановки. Практ. часть. 6 кла
2024-09-10 15:31
5:09
5:09
2024-12-19 14:38
8:19
8:19
2023-09-30 09:35
12:01
12:01
2025-02-10 21:42
7:33
7:33
2026-01-24 19:16
4:23
4:23
2024-04-23 04:33
12:00
12:00
2025-11-01 11:54
11:25
11:25
2023-09-13 00:54
1:35:51
1:35:51
2026-02-05 16:00
3:12:39
3:12:39
2023-12-21 11:54
1:47:32
3:13
3:04
3:17
5:38
2:44
3:10
3:22
2:30
3:05
2:36
3:20
2:19
4:25
4:02
2:55
2:30
2:49
4:28
3:16
3:22
1:43:51
1:39:35
2:05:47
1:41:31
1:37:45
57:01
1:47:12
1:49:18
2:04:36
1:01:10
1:38:49
2:21:46
1:39:30
1:49:52
58:23
2:54:28
1:30:31
2:12:40
1:37:17
1:44:11
23:53
6:30
12:31
10:23
1:05:30
13:00
7:04
7:00
11:00
13:10
25:31
13:26
21:08
11:00
11:20
7:10
6:30
11:27
7:08
8:60
1:49:29
57:36
4:38
1:29:27
2:40:60
1:30:27
2:53
2:00:00
46:30
66:54:01
1:49:18
2:54:39
2:32:29
2:11:07
2:07:05
1:03:03
3:16:51
59:17
4:33
1:49:38
1:47:32Скачать Видео с Рутуба / RuTube
| 256x144 | ||
| 432x232 | ||
| 640x360 | ||
| 856x480 | ||
| 1280x720 | ||
| 1920x1080 |
2026-02-08 12:57
2026-02-07 12:45
2026-02-03 14:11
2026-02-07 12:54
2026-01-30 18:37
2026-02-07 13:06
2026-02-03 13:34
2026-02-03 13:40
2026-01-24 13:42
2026-02-04 10:45
2026-01-28 10:04
2026-02-07 13:02
2026-02-07 12:58
2026-02-02 16:53
2026-02-02 10:04
2026-01-24 13:36
2026-02-07 12:48
2026-01-29 16:35
2026-01-28 11:55
2026-02-07 13:11
0/0
2026-01-23 18:44
2026-02-06 18:40
2026-02-06 18:40
2026-01-23 18:43
2026-01-26 14:35
2026-01-07 23:55
2026-01-23 18:43
2026-01-29 11:25
2026-01-26 14:34
2026-01-15 03:46
2026-01-26 14:34
2025-12-25 15:40
2026-01-23 18:43
2026-01-23 18:44
2026-01-07 23:52
2025-12-25 15:41
2026-01-14 15:48
2026-01-23 18:44
2026-01-26 14:35
2025-12-25 22:29
0/0
2021-09-22 23:25
2022-03-29 19:16
2021-09-22 22:40
2021-09-22 23:09
2025-06-27 13:20
2024-11-29 13:39
2022-03-29 15:20
2025-06-01 11:15
2022-04-01 17:59
2021-09-22 22:45
2022-04-01 14:30
2021-09-22 22:54
2025-01-09 16:39
2026-01-12 13:08
2025-09-12 10:05
2025-12-30 18:33
2025-12-30 19:54
2025-10-10 18:25
2025-12-30 21:34
2025-12-09 11:58
0/0
Скачать популярное видео
Популярное видео
1:49:29
2023-04-27 15:40
2024-11-13 13:06
4:38
2017-12-19 08:20
2025-04-11 14:51
2024-03-18 17:25
2025-04-04 18:26
2025-04-24 09:53
2024-12-19 00:00
2024-08-05 22:22
2023-05-15 17:30
2026-01-29 11:25
2022-03-11 11:17
2025-11-17 11:22
2:11:07
2023-04-25 22:52
2023-05-31 14:59
2026-02-02 23:42
2025-10-03 19:48
2026-02-01 14:02
4:33
2019-12-02 21:15
2024-03-12 00:19
0/0