5:49
2024-07-29 08:12
14:27
14:27
Дифференциальные уравнения 19. Метод вариации произвольных постоянных. Линейные неоднородные диф ура
2024-07-29 08:13
25:05
25:05
2024-07-29 08:12
19:55
19:55
2023-09-04 15:46
10:29
10:29
2025-09-22 09:39
7:19
7:19
2025-09-24 15:35
16:17
16:17
2025-09-17 18:32
1:06:32
1:06:32
2025-09-16 12:56
4:18
4:18
2025-09-21 11:49
23:29
23:29
2024-07-29 08:09
9:16
9:16
2024-07-29 08:09
7:35
7:35
2024-07-29 08:28
15:29
15:29
2024-07-29 08:12
37:01
37:01
2024-07-29 08:28
17:17
17:17
Дифференциальные уравнения 7. Линейные дифференциальные уравнения первого порядка. Метод Бернулли. -
2024-07-29 08:12
14:31
14:31
2024-07-29 08:11
17:04
17:04
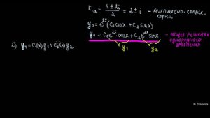
Дифференциальные уравнения 18. Линейные неоднородные дифференциальные уравнения 2 порядка с постоянн
2024-07-29 08:13
13:08
2:21
3:28
4:44
3:51
3:36
3:41
3:22
3:46
2:38
3:13
2:41
3:40
2:28
3:36
2:26
5:23
3:40
2:37
3:27
3:20
1:46:45
1:49:09
2:05:23
1:42:55
1:54:48
2:05:22
2:02:28
1:38:22
2:04:58
1:40:58
1:51:56
2:00:03
1:29:27
1:31:20
2:07:52
1:51:27
2:13:53
2:35:53
2:09:55
1:48:12
1:19:50
12:41
10:02
11:00
10:21
7:20
7:09
21:37
13:27
13:00
10:23
21:30
11:02
23:53
13:06
11:22
11:20
7:09
7:01
11:02
13:08
Дифференциальные уравнения 14. Дифференциальные уравнения второго порядка, допускающие понижение пор
2024-07-29 08:12
12:59
12:59
Дифференциальные уравнения 2. Дифференциальные уравнения с разделяющимися переменными. Часть 1. - 72
2024-07-29 08:11
14:08
14:08
Дифференциальные уравнения 15. Линейные однородные дифференциальные уравнения второго порядка с пост
2024-07-29 08:12
0/0
Скачать видео
| 256x144 | ||
| 432x232 | ||
| 640x360 | ||
| 856x480 | ||
| 1280x720 |
2025-10-14 11:07
2025-10-24 11:20
2025-10-19 10:46
2025-10-16 10:57
2025-10-18 10:11
2025-10-23 13:04
2025-10-20 14:44
2025-10-14 11:30
2025-10-16 11:06
2025-10-24 12:18
2025-10-22 14:02
2025-10-18 10:34
2025-10-17 12:00
2025-10-18 10:07
2025-10-22 14:10
2025-10-14 11:01
2025-10-15 11:15
2025-10-14 10:48
2025-10-16 11:15
2025-10-16 11:19
0/0
2025-10-02 20:45
2025-08-13 10:53
2025-07-18 18:28
2025-02-06 16:11
2025-10-01 15:17
2025-05-30 00:57
2025-04-25 00:41
2025-10-01 12:16
2025-04-26 17:36
2025-08-03 10:48
2025-09-24 11:35
2025-07-19 19:23
2025-09-07 22:44
2025-06-25 14:54
2025-02-18 18:05
2025-06-25 22:36
2025-08-09 11:00
2025-08-26 11:45
2025-10-05 00:32
2025-08-12 17:48
0/0
2024-12-17 16:00
2024-11-28 12:54
2021-09-22 21:29
2022-04-01 17:59
10:21
2025-09-11 10:05
2025-05-03 12:34
2025-04-01 16:06
2024-11-28 17:35
2021-09-22 23:51
2024-11-29 13:39
2021-09-22 23:09
2021-09-22 23:09
2021-09-22 23:36
2021-09-22 23:25
2024-11-28 16:30
2023-05-11 14:51
2025-09-12 10:05
2025-08-19 17:20
2022-03-30 17:25
2021-09-22 23:37
0/0